
好消息,意昂体育科技子公司维纳物联表面增强拉曼散射(SERS)衬底上新啦!其采用Au、Ag、Au/Ag合金贵金属衬底材料,经过可批量化生产的物理制造工艺,构建出微纳级结构阵列,具有极高的活性、均一性以及结构稳定性,在633nm、785nm 等激发波长下可实现大部分目标物质分子的痕量(ppb)检测。
SERS衬底产品实物
01、产品参数
1)敏感材料:Au、Ag、Au/Ag合金。
2)形貌结构:微纳分级式阵列结构
3)激发波长:784nm(推荐)、633nm(推荐)、532nm 等等(可供自行验证)
4)尺寸大小:3mm×3mm(标准,可批量定制)
5)可检分子:染料、农残、毒品、爆炸物、化学战剂、病毒/细菌等生物分子
SERS增强衬底SEM图
02、产品特色
背景洁净
制备过程无添加任何表面活性剂或配体,无任何背低信号干扰,目标分子特征峰显著;活性点位充足,分子吸附性强,更易于实现痕量物质(ppb)的检测。
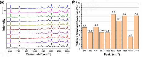
信号一致性高(RSD≈3%)
特殊的物理制备工艺下衬底具备高度的均匀性,同一甚至不同芯片在各位置收集的 SERS 图谱具有极高的一致性,使实验结果更加可信。
增强效果佳
基于微纳分级式结构下衬底富含大量的 SERS“热点”,增强效果远远领先于目前行业水平。
03、产品应用
拉曼分子探针
适用于常见的染料分子、巯基化合物等拉曼探针分子,进而评估 SERS 衬底的拉曼活性。
农药残留
可实现几乎所有种类包括违禁农药的痕量检测,例如三唑磷、克百威、灭多威、毒死蜱、乙酰甲胺磷、涕灭威、甲拌磷、三唑磷、羟基克百威、涕灭威砜、涕灭威亚砜、甲拌磷砜、甲拌磷亚砜等。
毒品
根据司法部《毛发中 15 种毒品及其代谢物的液相色谱-串联质谱检验方法》中涉及的毒品种类,均可采用本产品进行高效检出,检出限可低至 0.1ng/mL,适用于体液(血液/泪液/尿液)、毛发甚至各水体存在的毒品或代谢物残留。(毒品:吗啡、可待因、氯胺酮、单乙酰吗啡、甲基苯丙胺、苯丙胺、去氧麻黄碱外消旋体盐酸盐、可卡因等等)。
细菌、病毒、病原体、细胞等生物标志物
除以上主要应用场景外,医疗卫生领域例如对癌细胞、细菌等检测亦可实现。
维纳物联表面增强拉曼散射(SERS)衬底已上架淘宝店铺和微信商城,欢迎各位老师和同学进行选购。